5 年
手机商铺
公司新闻/正文
100 人阅读发布时间:2026-02-04 09:09
摘要

2024年9月哈尔滨工业大学(深圳)的张嘉恒研究团队在《Pharmaceuticals》期刊发表了题为”Ionic Liquid-Based Grapeseed Oil Emulsion for Enhanced Anti-Wrinkle Treatment“的研究。该研究针对葡萄籽油功效差、透皮渗透性不佳的问题,结合离子液体与纳米技术制备葡萄籽油乳液,探究其透皮渗透能力和抗皱功效。
该研究制备并验证新型薄荷醇-辅酶Q10离子液体及离子液体基葡萄籽油乳液。证明离子液体基葡萄籽油乳液的透皮渗透效果是普通葡萄籽油乳液的4.63倍,在体外和体内实验中均表现出功效增强作用。它能清除DPPH自由基、抑制酪氨酸酶活性,减少细胞产生的黑色素和基质金属蛋白酶-1,同时促进成纤维细胞中I型胶原蛋白的表达。连续使用28天后,该乳液可改善角质层含水量与经表皮失水量,提升皮肤紧致度与弹性,减少眼周纹、眼尾纹、法令纹及木偶纹的总数与长度。
薄荷醇-辅酶Q10离子液体是一种具有潜力的功能性辅料,既能提升透皮递送效率,又能增强功效。将离子液体与纳米技术应用于葡萄籽油面膜,能够提升产品功效与渗透性。
研究材料与仪器
材料
葡萄籽油、L-薄荷醇、辅酶Q10、甲醇、乙醇、DPPH、辣根过氧化物酶、香豆素-6、酪氨酸酶、左旋多巴、焦谷氨酸、PBS缓冲液、乳液基质、人黑色素瘤细胞、小鼠黑色素瘤细胞、人角质形成细胞、人成纤维细胞、3D EpiKutis皮肤模型细胞
仪器
差示扫描量热仪、傅里叶变换红外光谱仪、核磁共振波谱仪、多分散粒径分析仪、高效液相色谱仪、Franz扩散池、酶标仪、ASCH VAPOSCAN经皮水分流失测量仪、皮肤弹性测试仪、皮肤色素分析仪、皮肤黑色素与血红素测试仪、皮肤颜色测试仪、高压均质机
ASCH VAPOSCAN经皮水分流失测量仪
过程
1. 薄荷醇-辅酶Q10离子液体的制备与表征
1. 制备方法:将等摩尔的L-薄荷醇与辅酶Q10置于圆底烧瓶中,在50℃、避光条件下搅拌2小时,制得薄荷醇-辅酶Q10离子液体。
2. 表征手段:采用分子动力学模拟结合Multiwfn程序分析分子间作用力;通过差示扫描量热仪测定热性质;利用傅里叶变换红外光谱仪分析官能团相互作用;借助核磁共振氢谱研究氢原子耦合情况,验证离子液体的成功制备。
离子液体基葡萄籽油乳液的制备与表征
1. 制备方法:将0.5 g薄荷醇-辅酶Q10离子液体与80 g葡萄籽油均匀分散,得到离子液体葡萄籽油。取9 g GSO-IL与91 g乳液基质混合,在50℃下经600 bar高压均质处理,制得GSO-ILE,再与膜布结合制成面膜。
2. 表征手段:使用粒径分析仪测定乳液的粒径、多分散性指数和zeta电位;通过透射电子显微镜观察乳液微观形态;采用高效液相色谱仪检测辅酶Q10含量,开展离心实验和3个月加速试验,评估乳液的稳定性。
体外功能实验
1. 透皮释放实验:以3D细胞皮肤模型为载体,采用Franz扩散池法,设置GSO-ILE为实验组、普通葡萄籽油乳液为对照组,用荧光标记法结合高效液相色谱仪,检测不同时间点皮肤中辅酶Q10的含量,评估透皮渗透效果。
2. DPPH自由基清除实验:设置不同体积浓度的GSO-ILE样本,通过测定517 nm处吸光度,计算自由基清除率,评估其抗氧化能力。
3. 酪氨酸酶抑制实验:采用生化法,设置对照组、样本组和阳性对照组,测定475 nm处吸光度,计算酪氨酸酶抑制率。
4. 细胞活性实验:将不同细胞接种于96孔板,加入不同浓度的GSO-ILE,采用MTT法检测细胞存活率,评估细胞相容性。
5. 黑色素含量检测:将小鼠黑色素瘤细胞接种于24孔板,加入不同浓度的GSO-ILE,经培养、裂解后测定405 nm处吸光度,计算黑色素生成抑制率。
6. 成纤维细胞I型胶原蛋白和MMP-1含量检测:将人成纤维细胞接种于24孔板,加入不同浓度的GSO-ILE,经UVA照射处理后,采用ELISA试剂盒检测细胞上清液中I型胶原蛋白和MMP-1的含量。
临床安全性与功效评价
1. 安全性评价:按照《化妆品安全技术规范》开展人体皮肤斑贴试验,32名受试者使用GSO-ILE面膜,观察0.5 h、24 h、48 h后的皮肤反应,评估产品安全性。
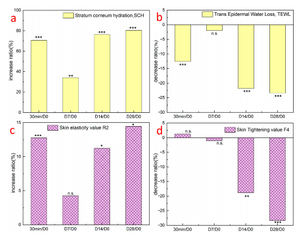
功效评价:选取30名30-65岁健康志愿者,每日使用GSO-ILE面膜,分别在使用前、使用30 min、第7天、第14天、第28天,采用ASCH VAPOSCAN经皮水分流失测量仪检测角质层含水量、经表皮失水量、皮肤弹性、紧致度、黑色素指数等指标,同时统计面部皱纹的数量和长度,评估产品的保湿、抗皱、美白功效。


GSO-ILE面膜的临床功效验证结果显示:角质层含水量(图a)和皮肤弹性值R2(图c)在30分钟内分别提升70.7%和12.8%,长期使用28天后分别增加80.4%和14.5%。经皮失水率(图b)和皮肤紧致度F4(图d)在30分钟时分别下降12.5%和18.8%,第28天时分别减少23.4%和28.4%,表明 GSOILE 面膜能显著提升角质层含水量、改善经皮失水情况,并增强皮肤弹性和紧致度。
结论
该研究成功制备了薄荷醇-辅酶Q10离子液体,其分子间以弱氢键为主的分散力及热性质、红外光谱特征均证实了离子液体的形成,所制备的GSO-ILE平均粒径218 nm、zeta电位-33.5 mV,稳定性优异,加速试验中辅酶Q10含量仍保持90%以上;相较于普通葡萄籽油乳液,它的透皮渗透效率提升4.63倍,能有效穿透皮肤深层,体外实验更显示其具备出色的抗氧化能力,还能抑制酪氨酸酶活性、减少黑色素瘤细胞黑色素生成,同时促进成纤维细胞合成I型胶原蛋白、抑制MMP-1产生,兼具美白与抗皱潜力。临床实验进一步证实,GSO-ILE面膜安全性高且无皮肤刺激性,连续使用28天可提升角质层含水量、皮肤弹性与紧致度,改善经表皮失水量,有效减少眼周纹、法令纹等面部皱纹的数量和长度,美白与抗皱功效很明显,这一成效源于薄荷醇与辅酶Q10的协同作用——薄荷醇可改变角质层脂质屏障以提升透皮递送效率,辅酶Q10能改善皮肤细胞微环境,而离子液体与纳米技术的结合,也为化妆品油脂递送提供了高效可行的新策略。