5 年
手机商铺
公司新闻/正文
86 人阅读发布时间:2026-03-05 15:05

九州工业大学研究生院的Akiko Hamasaki团队在《European Journal of Applied Physiology》上发表了题为“Changes in pulmonary oxygen uptake and muscle deoxygenation kinetics during cycling exercise in older women performing walking training for 12 weeks”的研究论文,主要研究了12周步行训练对老年女性自行车运动中肺摄氧量与肌肉脱氧动力学的影响。
摘要
目的:本研究检验了一个假设,即步行训练(WT)能否加快老年女性运动中缓慢的肺摄氧量(VO₂)二期动力学时间常数(τ)。同时,本研究旨在证明,当τVO₂缩短时,运动肌肉气体交换部位的氧气输送与氧气利用之间的匹配程度是否得以改善。
方法:20名习惯于休闲活动(无规律训练)的老年女性参与了为期12周的步行训练,频率为每周3-4次,每次约60分钟。在训练前、训练6周及12周时,评估了受试者在恒定负荷自行车运动测试中的VO₂、心率(HR)及脱氧血红蛋白浓度([HHb])的动力学变化。
结果:整个训练期间,受试者的最大摄氧量(VO₂max)未见明显变化。心率时间常数(τHR)在训练中期呈下降趋势(58.6 ± 22.0秒),并在训练后期(51.7 ± 21.7秒)较训练前(67.1 ± 23.8秒)明显缩短(p = 0.01)。VO₂的时间常数(τVO₂)从训练前的38.9 ± 8.6秒明显下降至训练中期的31.5 ± 7.9秒(p = 0.02)及训练后期的32.3 ± 10.5秒(p = 0.03)。归一化的[HHb]/VO₂比值(Δ[HHb]/ΔVO₂)从训练前的1.32 ± 0.93逐渐趋近于完美匹配值(= 1.0),在训练中期为1.15 ± 0.61,训练后期为1.07 ± 0.52。
结论:步行训练可使老年女性因增龄或活动减少而减慢的τVO₂(约恢复至30秒)得以恢复,反映了肌肉气体交换部位氧气输送与利用的更好匹配。这表明长期步行训练可作为改善老年人群运动耐力的有效手段。
材料与仪器
研究对象
20名绝经后女性(平均年龄68.5 ± 5.8岁),无规律运动习惯,无心血管、呼吸或代谢性慢性疾病。
主要仪器
Monark 818型自行车功率计
A- E 300S型呼出气体代谢分析仪、内置氧化锆O₂传感器、红外吸收CO₂分析仪及热丝式呼吸流量计
三导联心电图仪
Omegawave BOM-L1TRW近红外组织血氧仪
Omegawave BOM-L1TRW近红外组织血氧仪
SSA- 660A Xario型超声诊断设备PowerLab/8s型模数转换器
实验过程
所有受试者首先进行一次逐级递增负荷的自行车运动测试至力竭,以测定VO₂max及第一通气阈(VT₁)。次日,受试者以80% VT₁强度的恒定负荷进行三次重复的自行车运动测试,每次持续5分钟,间隔20分钟休息,以评估摄氧量、心率和肌肉脱氧动力学。测试在训练开始前、第6周及第12周分别进行。
训练期间,受试者进行为期12周、每周3-4次、每次约60分钟的步行训练,强度控制在约40% VO₂max(对应心率为30-40% VO₂max)。受试者通过自测桡动脉脉搏记录运动后即刻心率,并填写训练日记。训练强度(%VO₂max)通过个体VO₂-HR回归曲线推算。
摄氧量、心率及脱氧血红蛋白浓度数据通过指数模型拟合,分别计算τVO₂、τHR、τ[HHb]等动力学参数。采用左移相I期持续时间的方法,计算运动过渡期内的Δ[HHb]/ΔVO₂比值,以评估O₂输送与O₂利用的匹配程度。
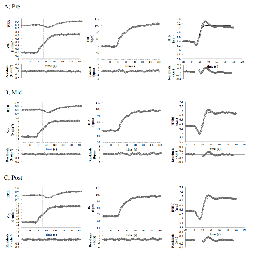
图1 平均摄氧量(VO₂)、呼吸交换率(RER)、心率(HR)和脱氧血红蛋白浓度([HHb])在恒定负荷运动启动阶段的动力学模型,包含残差图。a–c 分别表示步行训练计划开始前(Pre)、训练6周(Mid)和12周(Post)的VO₂、RER、HR和[HHb]动力学。左侧图中的垂直虚线表示RER开始下降的时间点,即I期至II期的转换点。
实验结论
本研究表明,为期12周、强度约为40% VO₂max的步行训练,可在不提高VO₂max的前提下,明显加快老年女性运动中缓慢的肺摄氧量动力学(τVO₂),并使其Δ[HHb]/ΔVO₂比值趋近于1.0。这表明步行训练改善了运动肌肉微循环中血流分布的效率,从而促进O₂输送与O₂利用在气体交换部位更好地匹配。因此,步行作为一种易于融入日常生活的低强度运动,有助于恢复老年女性的运动耐力。