5 年
手机商铺
公司新闻/正文
97 人阅读发布时间:2025-12-24 13:29


奥地利维也纳大学Astrid Pany、Victoria Klang等研究人员在《International Journal of Pharmaceutics》(2019年,Vol.567, 118477,DOI:10.1016/j.ijpharm.2019.118477)发表研究,探究常见脱毛方式对不同理化性质药物及表面活性剂离体皮肤渗透的影响,为脱毛后化妆品、药品的安全使用提供科学依据。
化妆品脱毛是社会中常见的日常护肤操作,但此类操作是否会增加药物或制剂成分等外用物质的皮肤吸收,进而可能引发皮肤刺激或致敏反应,目前尚不明确。本研究以猪耳皮肤为模型,旨在阐明常见脱毛法与拔毛法对两种表面活性剂及四种不同理化性质模型药物皮肤渗透的影响,同时探究脱毛操作是否会影响这些物质的皮肤渗透行为,以及潜在影响是否与其极性相关。
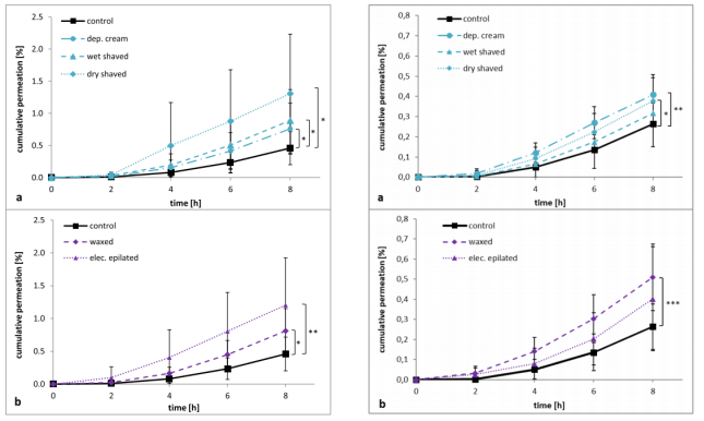
共聚焦拉曼光谱法显示,脱毛对十二烷基硫酸钠(SDS)和磺胺噻唑的总渗透深度无影响,但干剃、脱毛膏脱毛及蜜蜡脱毛后,SDS在角质层0-6μm深度的相对渗透量显著升高;所有脱毛法及部分拔毛法后,磺胺噻唑的相对渗透量亦显著增加。
衰减全反射傅里叶变换红外光谱法(ATR-FTIR)表明,脱毛不影响卵磷脂LPC80的渗透深度,但湿剃和电动拔毛后其在皮肤表面的相对含量更高。以卵磷脂基微乳为载体的扩散池实验显示,对于氟康唑、氟氢可的松醋酸酯和氟芬那酸,部分脱毛/拔毛法可使脂溶性更强的药物获得更高的累积渗透量、更高的药物通量及更短的滞后时间,而氟康唑仅在部分情况下滞后时间缩短。
综上,观察到的脱毛/拔毛对皮肤渗透的影响与药物极性及实验设计相关。
猪耳在动物处死后直接获取,于-18℃冷冻储存,最长保存期为3个月。
实验前直接将猪耳置于室温下解冻,用流动冷水冲洗干净,并用软纸巾吸干水分。采用Biox AquaFlux经皮水分流失测量仪测量经皮水分流失(TEWL),以此作为质量控制手段,确保皮肤具有代表性的屏障功能(Schwarz等人,2012年)。随后,按以下章节(2.3.1和2.3.2)所述进行脱毛操作。所用方法(以剪刀修剪为对照、干剃、湿剃、脱毛膏脱毛、电动拔毛、蜜蜡脱毛)均使用市售产品,具体操作同先前报道(详见Pany等人,2019年或补充材料表1X)。之后,按以下章节(2.4和2.5)所述施加测试物质,并通过共聚焦拉曼光谱或衰减全反射傅里叶变换红外光谱(ATR-FTIR)评估其皮肤渗透情况。
(Biox AquaFlux经皮水分流失测量仪)
扩散池实验用猪耳皮肤按上述方法制备。检测经皮水分流失(TEWL)并完成脱毛后,额外使用皮肤切片机(德国Aesculap AG公司,型号Aesculap GA 630 DBP)将皮肤切成700μm厚的样本。所得皮肤样本冷冻储存,直至按2.6章节所述用于扩散池实验。
结论:
在共聚焦拉曼光谱、衰减全反射傅里叶变换红外光谱(ATR-FTIR)及 Franz 型扩散池三种不同实验装置中,均观察到脱毛方式对皮肤屏障功能具有统计学上显著的影响。然而,各测试脱毛方式与对照实验之间的差异并不一致。无论是分配系数(log P 值)等物质特性,还是所选脱毛技术的具体特点及相应的实验设计,均可能在这一过程中发挥作用。
【1】Pany A, Klang V, Peinhopf C, et al. Hair removal and bioavailability of chemicals: Effect of physicochemical properties of drugs and surfactants on skin permeation ex vivo. Int J Pharm, 2019, 567:118477.
【2】Binder L, Kulovits EM, Petz R, et al. Penetration monitoring of drugs and additives by ATR-FTIR spectroscopy/tape stripping and confocal Raman spectroscopy – a comparative study. Eur J PharmBiopharm, 2018, 130:214-223.
【3】Hamza M, Tohid H, Maibach H. Shaving effects on percutaneous penetration: clinical implications. Cutan Ocul Toxicol, 2015, 34:335-343.