5 年
手机商铺
公司新闻/正文
149 人阅读发布时间:2025-11-03 16:25
保持双手卫生是预防医疗相关感染的关键,但医护人员因频繁消毒导致的皮肤问题,常成为依从性的阻碍。如何科学评估手部消毒剂的皮肤友好性?2024年的一项新研究显示,Epsilon 皮肤水分成像仪通过电容接触成像(CCI)技术,为这一问题提供了直观且可靠的解决方案。
频繁使用手部消毒剂可能引发刺激性接触性皮炎,导致皮肤干燥、开裂,不仅影响医护人员舒适度,还可能降低手卫生依从性。因此,评估手部消毒剂的皮肤保湿效果至关重要。本研究聚焦一款含综合护肤成分的手消毒泡沫,旨在通过 Epsilon 皮肤水分成像仪与传统方法(如角质层水分仪)的对比,验证其保湿功效。

本研究为开放标签、随机、为期两周的探索性试验,共纳入 24 名受试者(60% 女性,40% 男性),年龄 55.7±9.4 岁,涵盖健康及敏感性皮肤人群。受试者每日在家中对双手及前臂涂抹测试消毒泡沫 20 次,分别在第 1 天(基线)、15 天、16 天通过多项指标评估皮肤状态:
• Epsilon 皮肤水分成像仪(CCI):通过阵列电容传感器捕捉皮肤电容变化,将数据转化为 12.8×15mm 的图像,直观呈现皮肤水合状态;
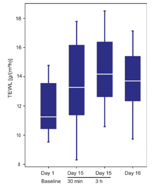
• 传统方法:包括经皮水分流失测量仪测量TEWL值,及主客观皮肤状况评估。

1. 皮肤水合度显著提升:
经Epsilon皮肤水分成像仪检测,第 15 天(末次使用后 30 分钟)皮肤水合度较基线显著提升 3 倍,3 小时后仍维持 2 倍水平,且第 16 天保持稳定;角质层水分仪结果与之一致,均证实消毒泡沫能有效改善皮肤水分。

2. 皮肤屏障稳定:
使用经皮水分流失测量仪测量皮肤TEWL值。TEWL 值虽有上升,但始终处于生理安全区间,表明皮肤屏障未受损。

3. 安全性与耐受性良好:
两周使用后,医生评估显示红斑、干燥、脱屑等问题显著减少,受试者主观反馈无明显瘙痒、刺痛,且无不良反应发生。
作为关键测试仪器,Epsilon 皮肤水分成像仪的优势在于:
• 直观性:通过图像直接呈现皮肤水合状态变化,使 “看不见的保湿效果” 变为可观察的视觉证据;
• 可靠性:与传统角质层水分仪结果高度一致,验证了其作为皮肤水合评估补充方法的潜力。
这一技术不仅能科学验证手部消毒剂的护肤功效,更能帮助医药企业、医疗机构向使用者直观展示产品的皮肤友好性,助力提升手卫生依从性。
本研究证实,含护肤成分的手消毒泡沫在频繁使用下可改善皮肤水合状态,且安全性良好。而 Epsilon 皮肤水分成像仪凭借其直观、可靠的电容接触成像技术,为评估手卫生产品的皮肤健康效应提供了创新工具,有望在医药研发、临床评估中发挥重要作用。